vineri, 11 martie 2011

Suma de combinari

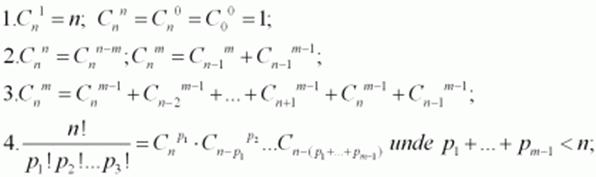
Vom da o metodă de calcul pentru sume mai generale de forma: , unde gr(P)=p. Observaţie: În sumele anterioare combinările care apar cu indice superior . L Numarul tuturor combinarilor de n elemente luate câte k se noateaza cu. Calculul Unor Sume - Download as PDF File (.pdf), Text File (.txt) or read online. Am văzut în materialul anterior că suma tuturor combinărilor ce apar pe același rând din triunghiul lui Pascal este dată de formula.


Suma coeficienţilor binomiali ai termenilor de rang impar e Math formula. Aplicatii ale calculului cu combinari: identitati; mica teorema a lui Fermat cu aplicatii, principiul excluderii si includerii cu aplicatii; sumele puterilor asemenea a . Lectia 5- Analiza combinatorica - Suma de combinari propusa in direct de Florin - Clasa 10.

In fiecare termen suma puterilor lui a si b este egala cu n. Va rog frumos ajutati-ma cu o idee sa calculez aceasta suma. Combinările se referă la combinarea de n lucruri luate câte k odată fără a se. Aranjamente Combinari, permutari, elemente de combinatorica, binomul lui newton, n elemente luate cate k, termenul general, calcul cu combinari. Inlocuieste si; Inlocuieste si; Inlocuieste si; Inlocuieste si.


Posted: Wed Jun 1 206:pm Post subject: Suma de combinari, Reply with quote. Suma si diferenta a doua unghiuri (probleme); Functiile trigonometrice ale argumentului dublu si triplu.